Beranda
Tentang Pengadilan
Pengantar dari Ketua Pengadilan
Visi Misi Pengadilan
Profil Pengadilan
Sejarah Pengadilan
Struktur Organisasi
Tugas Pokok dan Fungsi
Wilayah Yuridiksi
Profil Hakim dan Pegawai
Profil Hakim
Ketua
Wakil Ketua
Hakim
Profil Kepaniteraan
Panitera
Panitera Muda
Panitera Pengganti
Jurusita
Jurusita Pengganti
Profil Kesekretariatan
Sekretaris
Kepala Bagian Umum
Kepala Sub Bagian
Profil Aparatur Sipil Negara
Pegawai Negeri Sipil
Pegawai Pemerintah dengan Perjanjian Kerja (PPPK)
Profil Role Model dan Agen Perubahan
Profil Role Model
Profil Agen Perubahan
Kepaniteraan
Kepaniteraan Hukum
Kepaniteraan Pidana
Kepaniteraan Perdata
Sistem Pengelolaan Pengadilan
E - Learning
Kebijakan / Yurisprudensi
Rencana Strategis (RENSTRA)
Daftar Isian Pelaksanaan Anggaran (DIPA)
Rencana Kerja dan Anggaran
Pengawasan dan Kode Etik Hakim
Standar Operasional Prosedur
SOP Kepaniteraan
SOP Kesekretariatan
Informasi Kepegawaian
Bezetting Pegawai
Jumlah Pegawai
Daftar Urut Senioritas Hakim
Daftar Urut Kepangkatan
Surat Keputusan
Layanan Publik
PTSP
Struktur PTSP
Jenis Layanan
Standar Pelayanan Publik
Maklumat Pelayanan
Kompensasi Pelayanan
Layanan Disabilitas
Prosedur Pelayanan Bagi Disabilitas
Sarana dan Prasarana Bagi Disabilitas
Formulir Lembar Identifikasi
Buku Saku
Tata Tertib Pengadilan
Informasi Perkara Pengadilan
Penelusuran Perkara
Jadwal Sidang
Delegasi
Delegasi Masuk
Delegasi Keluar
Statistik Perkara
Direktori Putusan
Laporan Penggunaan Biaya Perkara
Jam Kerja
Jam Kerja Pengadilan
Jam Kerja Pelayanan Terpadu Satu Pintu (PTSP)
Laporan
Laporan Penelitian
Ringkasan LKJIP
Ringkasan Daftar Aset dan Inventaris
Laporan Tahunan
Laporan Keuangan
CALK
Laporan Realisasi Anggaran
Laporan Realisasi Pendapatan PNBP
Rencana Penggunaan Anggaran (RPA)
SAKIP
Indikator Kinerja Utama (IKU)
Rencana Kinerja Tahunan (RKT)
Perjanjian Kinerja Tahunan (PKT)
LKJIP
Rencana Aksi (RA)
Cetak Biru Pembaruan Peradilan 2010 - 2035
LHKPN & SPT Tahunan
Laporan Survei Indeks Kepuasan Masyarakat (IKM)
Laporan Survei Indeks Persepsi Anti Korupsi (IPAK)
Laporan Survei Harian (LSH)
Pengumuman
Perkara Lalulintas (Tilang)
Lelang Barang dan Jasa
Panggilan Kepada Pihak yang Tidak Diketahui Alamat
Penerimaan Pegawai
Pengumuman Lainnya
Keterbukaan Informasi Publik
Tentang PPID
Visi dan Misi PPID
Tugas dan Fungsi PPID
Maklumat Layanan Informasi Publik
Pejabat PPID
SOP PPID
SOP Pengujian Konsekuensi
SOP Pengelolaan Permhn Inf.
SOP Pengelolaan Keberatan Informasi
SOP Penetapan dan Pemuktakhiran DIP
SOP Pendokumentasian Informasi Yang DiKecualikan
SOP Pendok. Informasi Publik
SOP Penanganan Sengketa Inf.
SOP Pengumuman Informasi
Prosedur Permohonan Informasi
Standar Pengumuman Informasi
Daftar Informasi Publik (DIP)
Uji Konsekuensi Informasi diKecualikan
Form Permohonan Informasi
Form Bukti Pengajuan Permohonan Informasi
Form Pernyataan Keberatan Atas Pelayanan Informasi
Laporan Pelayanan Informasi Publik
Pengaduan Layanan Publik
Dasar Hukum dan Regulasi Pengaduan
Prosedur Pengaduan
Prosedur Peringatan Dini Evakuasi Keadaan Darurat
Surat Menyurat Pimpinan dan Pejabat
E-BROSUR
Layanan Hukum
Layanan Hukum Bagi Masyarakat Kurang Mampu
Peraturan dan Kebijakan
Prosedur Pembebasan Biaya Perkara
Pos Bantuan Hukum
Prosedur Pengajuan Perkara dan Biaya Perkara
Prosedur Pengajuan Perkara
Panjar Biaya Perkara
Prosedur Eksekusi
Mediasi
Berita
Berita Terkini
Artikel
Galeri Kegiatan
Galeri Video
Reformasi Birokrasi
Zona Integritas
Area I - Manajemen Perubahan
Area II - Penataan Tata Laksana
Area III - Penataan Sistem Manajemen SDM
Area IV - Penguatan Akuntabilitas Kinerja
Area V - Penguatan Pengawasan
Eviden Zona Integritas
Area VI - Peningkatan Kualitas Pelayanan Publik
Sertifikasi Mutu Pengadilan Unggul dan Tangguh
Dokumentasi dan Pengarsipan
Hasil Kinerja
SK Tim Sertif. Mutu Pengadilan Unggul dan Tangguh
Kepemimpinan
Kualitas Pelayanan
Manajemen Proses
Pengelolaan Sumber Daya
Perencanaan Strategis
Hubungi Kami
Alamat
Sosial Media
Assistant Virtual / Whatsapp Bot
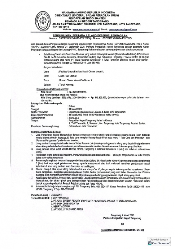
PENGUMUMAN
PENGUMUMAN PERTAMA LELANG EKSEKUSI PENGADILAN NOMOR 55/PEN.EKS/2025/PN.TNG Jo NOMOR 1057/PDT.G/2024/PN.TNG
Mar
02
Konten :
pengumuman
umum
Telah dibaca : 138 Kali
« kembali